H Methode Formel
H Methode Formel. Prozentrechnung erstellt von Frank H ppe Formel Methoden Dreisatz Kaufm nnische Methode Vermehrter Grundwert Methoden Verminderter Grundwert Formel - Methode. Dabei ist mir aufgefallen, dass ich eine Methode garnicht kann und komplett garnicht verstanden.
METHODE: Prüfung durch Experten anhand der Relevanz der Verbesserung (Relevanz des Fremdenverkehrs/Naher-holungsgebiete/Kurorte in der Region usw.) mit einer für diese Zwecke.
Jedes dieser Verfahren schauen wir uns nun an Beispielen an.
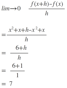
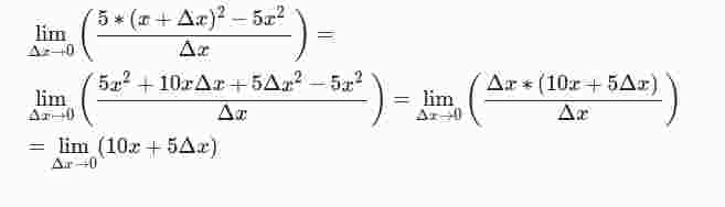
Du kannst nun die Ableitung der Funktion mithilfe der h-Methode herleiten. Bei der Termumformung kannst du entweder eine binomische Formel verwenden oder die Polynomdivision. Ich verstehe die H-Methode einfach Könnte mir jemand die allgemeine Formel dazu schreiben und ein Beispiel, da ich in anderen und.







0 Response to "H Methode Formel"
Posting Komentar